品名:6S-5-甲基四氢叶酸,L-5-甲基四氢叶酸,天然叶酸
化学名称:
英文名称: L-5-Methyltetrahydrofolic acid
英文别名:(6S)-5-methyl-5,6,7,8-tetrahydropteroyl-L-glutamic acid
CAS 号: 31690-09-2
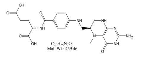
结构式:

6S-5-甲基四氢叶酸在水中溶解度极低,生物利用效率不好,所以,在医疗保健应用上,一般使用其钙盐。
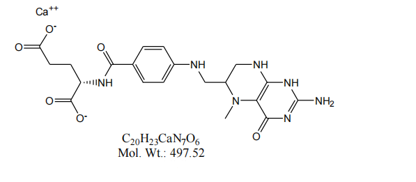
钙盐在摄取时或溶解时,完全离解成5-甲基四氢叶酸(5-MTHF)与钙,然后作为5-甲基四氢叶酸(5-MTHF)发挥作
用。
L-5-甲基四氢叶酸钙盐结晶拥有优良的化学稳定性和适中的溶解性,生物利用度优良。

Magnafolate®是一种受专利保护的C晶体L-5-甲基四氢叶酸钙(L-5-MTHF-Ca),由金康和信于2012年研发而成。
Magnafolate®的L-5-甲基四氢叶酸钙更安全,更纯净,更稳定,适合所有人群且在人体内无需代谢,直接吸收。